728x90
벡터는 크기와 방향을 동시에 나타낸다.
시속 50km로 달리는 자동차 자체는 벡터가 아닌 단순한 크기(속력)을 의미한다. 이 값은 스칼라이다.
이 자동차가 벡터가 되기위해선 방향을 가져야한다. 자동차가 동쪽으로 달린다고 하면 "동쪽으로 시속 50km를 달리는 자동차"는 속도(velocity)를 가지고, 이는 벡터가 된다.

벡터를 표기할땐 기호 위에 작은 화살표를 그린다.
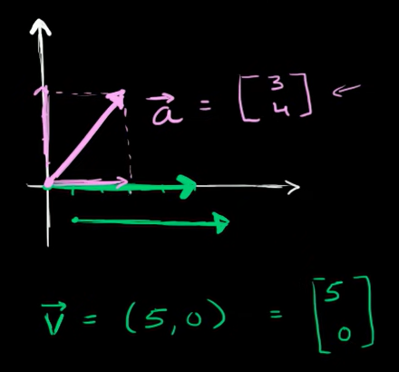
(5,0)으로 표기된 벡터는 수직 방향으로 5만큼, 수평방향으로 0만큼 이동한 방향벡터를 나타내고
긴 대괄호로 표현한다.

R2라고 표시하는 것은 2차원 실수좌표공간을 의미한다. 2차원 실수좌표공간은 실수값을 가진 모든 2-튜플을 말한다.
튜플은 순서가 정해진 실수 2개의 순서리스트이다.
따라서 R3는 3차원 실수좌표공간이 된다. 즉, 순서가 정해진 3개의 실수 리스트를 말한다.
(Rn = n차원 실수좌표공간)
(출처: 칸아카데미)
728x90
'📚수학공부' 카테고리의 다른 글
| [선형대수학] 외적(Cross Product) (0) | 2023.01.24 |
|---|---|
| [선형대수학] 벡터의 내적, 벡터의 길이 (0) | 2023.01.23 |
| [선형대수학] 선형결합, 선형생성, 선형독립, 선형종속 (0) | 2023.01.19 |
| [선형대수학] 단위벡터 (0) | 2023.01.17 |
| [선형대수학] 벡터의 덧셈/뺄셈, 벡터와 스칼라의 곱셈 (0) | 2023.01.17 |